BATTERY CONDITION INITIALIZATION SETTING (i-stop SETTING)


id011700801000


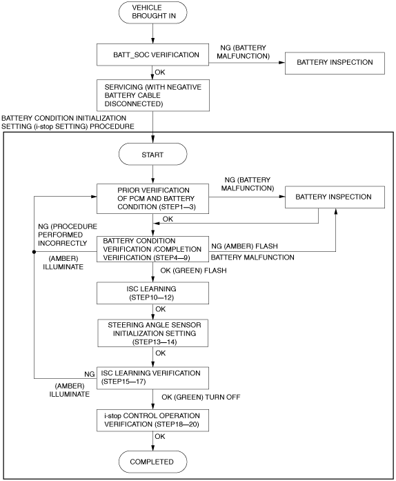
Battery Condition Initial setting (i-stop setting) Procedure

Caution
•  If the engine is started with the bonnet open, the i-stop function will not operate until the engine is restarted with the bonnet closed (not system malfunction). If the engine is started with the bonnet open, close the bonnet and restart the engine after the ignition is switched off once.
•  If a vehicle with an i-stop non-operation condition is brought in, the malfunction will not be resolved by simply performing the battery condition initial setting (i-stop setting). Verify the PID “BATT_SOC” value and if the value is less than 75%, recharge the battery. (See BATTERY RECHARGING.)
•  If the “BATT_SOC” value has not been verified before disconnecting the negative battery cable, perform battery condition initial setting (i-stop setting) after performing the battery inspection.
•  The “BATT_SOC” value is displayed “0%” because the battery charge condition is not stabilized after connecting the negative battery cable (it is necessary to leave battery undisturbed for approx. 6 to 48 h to stabilize battery charge condition).
•  If the negative battery cable is disconnected, specific information stored in the PCM will be erased. Therefore, perform the following procedure after reconnecting.

Battery Condition Initial setting (i-stop setting) flow (SKYACTIV-G 1.3, SKYACTIV-G 1.5)

am2zzw00013939

Purpose

Step

Procedure

Caution/Note

Prior verification of PCM and battery condition
1
Verify the value (BATT_SOC) measured before disconnecting the negative battery cable.
When BATT_SOC value is 75% or more.
•  Go to the next step.
When BATT_SOC value is not verified or the value is less than 75%
•  Perform battery inspection. (See BATTERY INSPECTION.)
2
Verify that 5 min or more have elapsed since the negative battery cable was disconnected.
Caution
•  It is necessary to leave the battery undisturbed for 5 min or more because the voltage is not stabilized, depending on the battery usage condition, and the PCM cannot determine the “BATT_SOC” value correctly.
3
Disconnect the current sensor connector. If the current sensor connector has already been disconnected, go to the next step.
Battery condition verification /completion verification
4
Connect the negative battery cable and wait for 10 s or more.
Caution
•  negative battery cable terminal tightening torque: 4.0—6.0 N·m {41—61 kgf·cm, 36—53 in·lbf}
Note
•  Connect the negative battery cable before connecting the current sensor connector. If the current sensor connector is connected first, the PCM may mistakenly recognize a signal from the current sensor and learn the battery condition incorrectly.
5
Connect the current sensor connector.
6
Switch the ignition ON (engine off) and wait for 15 s or more (within 1 min.).
7
Vehicles with i-ELOOP
•  Display the DC-DC converter (i-ELOOP) voltage reduction circuit operation status (PID: CONV_STAT) using the M-MDS data monitor function. (See PID/DATA MONITOR INSPECTION [i-ELOOP].)
Power Output (Normal) is displayed
―  Go to the next step.
Other than Power Output (Normal) is displayed
―  Charge the capacitor. (See CAPACITOR (i-ELOOP) RECHARGING [i-ELOOP].)
Note
•  To enable i-stop operation, it is necessary to return the i-ELOOP operation conditions to normal.
8
VERIFY i-stop INDICATOR LIGHT (GREEN) AND i-stop WARNING LIGHT (AMBER) FLASHING CONDITION
•  Press the i-stop OFF switch for 10 s and verify the flashing condition of the i-stop indicator light (green) and i-stop warning light (amber).
When i-stop indicator light (green) flashes
―  Go to the next step.
When i-stop warning light (amber) flashes
―  Perform the battery inspection. (See BATTERY INSPECTION.)
When i-stop warning light (amber) illuminates
―  Procedure is performed incorrectly. Switch the ignition off and repeat the procedure from Step 1 (Prior verification of PCM and battery condition).
Note
•  When the i-stop OFF switch is pressed, the illumination condition of the i-stop warning light (amber) changes to flashing of either the i-stop indicator light (green) or the i-stop warning light (amber).
9
Switch the ignition off.
ISC learning
10
Close the bonnet.
Note
•  If the engine is not warmed up completely the ISC learning will not finish.
―  Warm-up is not completed even if the low engine coolant temperature indicator light (blue) turns off. As a guide, apply pressure to the radiator hose and if the radiator has warmed up, engine warming is complete.
11
Start the engine.
12
Warm up the engine completely with no electrical load.
Steering angle sensor initialization setting
13
Turn the steering wheel lock-to-lock.
Note
•  The steering wheel angle is set to the initial value by disconnecting the negative battery cable.
14
Switch the ignition off.
ISC learning verification
15
Perform the following procedure within 25 s.
1.  Switch the ignition ON (engine off) and within 5 s, long-press the i-stop OFF switch for 3 s or more. (The i-stop warning light (amber) illuminates.)
2.  Start the engine.
3.  Long-press the i-stop OFF switch one time.
4.  Verify that the i-stop warning light (amber) stop illuminating and the i-stop indicator light (green) starts flashing.
―  If the amber light continues to illuminate, the procedure was performed incorrectly, therefore repeat the procedure from Step 1. (Prior verification of PCM and battery condition)
Note
•  Although the i-stop indicator light (green) may flash a few times right after the engine is started, then the i-stop warning light (amber) starts illuminating.
16
Maintain the idle status (no electrical load) until the i-stop indicator light (green) turns off.
17
After the i-stop indicator light (green) turns off, switch the ignition off.
i-stop control operation verification
18
Start the engine and verify that the i-stop indicator light (green) is turned off.
19
Verify the i-stop control operation using the following procedure.
1.  Vehicle is traveling at a speed of 4 km/h {2 mph} or more. (EC/Russia specs.)
1.  While the vehicle is traveling at a speed of 4 km/h {2 mph} or more, verify that the i-stop indicator light (green) illuminates. (Except EC/Russia specs.)
2.  Stop the vehicle and verify that the engine stops via the i-stop control and then restarts.
20
Switch the ignition off.

Battery Condition Initial setting (i-stop setting) flow (SKYACTIV-D 1.5)

am2zzw00013940

Purpose

Step

Procedure

Caution/Note

Prior verification of PCM and battery condition
1
Verify the value (BATT_SOC) measured before disconnecting the negative battery cable.
When BATT_SOC value is 75% or more.
•  Go to the next step.
When BATT_SOC value is not verified or the value is less than 75%
•  Perform battery inspection. (See BATTERY INSPECTION.)
2
Verify that 5 min or more have elapsed since the negative battery cable was disconnected.
Caution
•  It is necessary to leave the battery undisturbed for 5 min or more because the voltage is not stabilized, depending on the battery usage condition, and the PCM cannot determine the “BATT_SOC” value correctly.
3
Disconnect the current sensor connector. If the current sensor connector has already been disconnected, go to the next step.
Battery condition verification /completion verification
4
Connect the negative battery cable and wait for 10 s or more.
Caution
•  negative battery cable terminal tightening torque: 4.0—6.0 N·m {41—61 kgf·cm, 36—53 in·lbf}
Note
•  Connect the negative battery cable before connecting the current sensor connector. If the current sensor connector is connected first, the PCM may mistakenly recognize a signal from the current sensor and learn the battery condition incorrectly.
5
Connect the current sensor connector.
6
Switch the ignition ON (engine off) and wait for 15 s or more (within 1 min.).
7
Vehicles with i-ELOOP
•  Display the DC-DC converter (i-ELOOP) voltage reduction circuit operation status (PID: CONV_STAT) using the M-MDS data monitor function. (See PID/DATA MONITOR INSPECTION [i-ELOOP].)
Power Output (Normal) is displayed
―  Go to the next step.
Other than Power Output (Normal) is displayed
―  Charge the capacitor. (See CAPACITOR (i-ELOOP) RECHARGING [i-ELOOP].)
Note
•  To enable i-stop operation, it is necessary to return the i-ELOOP operation conditions to normal.
8
VERIFY i-stop INDICATOR LIGHT (GREEN) AND i-stop WARNING LIGHT (AMBER) FLASHING CONDITION
•  Press the i-stop OFF switch for 10 s and verify the flashing condition of the i-stop indicator light (green) and i-stop warning light (amber).
When i-stop indicator light (green) flashes
―  Go to the next step.
When i-stop warning light (amber) flashes
―  Perform the battery inspection. (See BATTERY INSPECTION.)
When i-stop warning light (amber) illuminates
―  Procedure is performed incorrectly. Switch the ignition off and repeat the procedure from Step 1 (Prior verification of PCM and battery condition).
Note
•  When the i-stop OFF switch is pressed, the illumination condition of the i-stop warning light (amber) changes to flashing of either the i-stop indicator light (green) or the i-stop warning light (amber).
9
Switch the ignition off.
Steering angle sensor initialization setting
10
Close the bonnet.
11
Start the engine.
Note
•  The steering wheel angle in the EPS control module is set to the initial value by disconnecting the negative battery cable.
12
Turn the steering wheel lock-to-lock.
13
Switch the ignition off.
Setting verification
14
Perform the following procedure within 25 s.
1.  Switch the ignition ON (engine off) and within 5 s, long-press the i-stop OFF switch for 3 s or more. (The i-stop warning light (amber) illuminates.)
2.  Start the engine.
3.  Long-press the i-stop OFF switch one time.
4.  Verify that the i-stop warning light (amber) stop illuminating and the i-stop indicator light (green) starts flashing.
―  If the amber light continues to illuminate, the procedure was performed incorrectly, therefore repeat the procedure from Step 1. (Prior verification of PCM and battery condition)
Note
•  Although the i-stop indicator light (green) may flash a few times right after the engine is started, then the i-stop warning light (amber) starts illuminating.
15
Maintain the idle status (no electrical load) until the i-stop indicator light (green) turns off.
16
After the i-stop indicator light (green) turns off, switch the ignition off.
i-stop control operation verification
17
Start the engine and verify that the i-stop indicator light (green) is turned off.
18
Verify the i-stop control operation using the following procedure.
1.  Vehicle is traveling at a speed of 4 km/h {2 mph} or more. (EC/Russia specs.)
1.  While the vehicle is traveling at a speed of 4 km/h {2 mph} or more, verify that the i-stop indicator light (green) illuminates. (Except EC/Russia specs.)
2.  Stop the vehicle and verify that the engine stops via the i-stop control and then restarts.
19
Switch the ignition off.